Plus Minus Latex: A Comprehensive Guide to Mathematical Notation

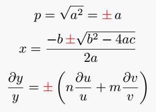
Plus Minus Latex A Comprehensive Guide to Mathematical Notation In the world of mathematics, proper formatting and the use of symbols are crucial for clear and concise communication. LaTeX, a typesetting system, has become the gold standard for presenting mathematical equations and formulas in academic and scientific documents. Whether you’re a student, researcher, or simply …

Read more

Platycerium bifurcatum: A Complete Guide to Growing and Caring for Staghorn Ferns

Platycerium bifurcatum A Comprehensive Guide to Growing and Caring for Staghorn Ferns Staghorn ferns, scientifically known as Platycerium bifurcatum, are a unique and fascinating addition to any garden. These epiphytic plants are native to tropical regions and are prized for their striking foliage and ornamental value. With their distinctive antler-like fronds, staghorn ferns are sure …

Read more

Plastic Shims: A Versatile Solution for Leveling and Alignment | YourSiteName

Plastic Shims A Versatile Solution for Leveling and Alignment When it comes to leveling and alignment, plastic shims are the perfect solution. Whether you’re working on a construction project or simply need to fix a wobbly table, plastic shims offer a versatile and cost-effective solution. Strong and Durable: Made from high-quality plastic, these shims are …

Read more

Plastic Adirondack Chairs: Affordable, Durable, and Stylish Outdoor Seating

Plastic Adirondack Chairs Affordable Durable and Stylish Outdoor Seating Upgrade your outdoor space with our comfortable and stylish Adirondack chairs. Made from durable plastic, these chairs are perfect for your garden, patio, or any outdoor area. Designed with relaxation in mind, our Adirondack chairs provide the ultimate seating experience. The ergonomic design and wide armrests …

Read more

Pink Princess Philodendron: A Guide to Growing and Caring for this Stunning Houseplant

Pink Princess Philodendron A Guide to Growing and Caring for this Stunning Houseplant Welcome to the world of the Pink Princess Philodendron! With its vibrant pink and green leaves, this indoor plant is truly a princess among houseplants. Whether you’re a seasoned plant enthusiast or just starting out, this tropical vine is sure to captivate …

Read more

Pictures of Daisies: Captivating Images of Beautiful Daisies | Website Name

Pictures of Daisies Captivating Images of Beautiful Daisies Captivating Images of Beautiful Daisies Experience the mesmerizing beauty of daisies with our collection of stunning pictures. These delicate flowers, with their vibrant yellow petals, are a true symbol of nature’s beauty. Spring is the perfect time to enjoy the enchanting charm of daisies. As they bloom …

Read more